Yet more on cross winds effects on trains

Train blown over by high winds in Switzerland in March 2023

This post and its attachments continues a sporadic (and what some might call obsessional) series on the effects of cross winds on trains. It gives links to a downloadable report and a downloadable spreadsheet.

The report (below), which follows on from two papers I wrote in 2010 and 2013, presents a detailed analysis of the effects of unsteady crosswinds on trains using a simple train dynamic system methodology. This begins with the specification of unsteady wind characteristics that are then used to calculate unsteady aerodynamic forces. These are then used as input to the dynamic model to calculate lateral, vertical and rotational displacements and unsteady track forces. Three specific effects are then considered – wheel unloading criteria, track force criteria and vehicle displacement criteria, and a rigorous statistical methodology used to specify values of these under specific unsteady crosswind conditions. A simple methodology for developing wheel unloading cross wind characteristics (CWCs) is then set out and calibrated using the dynamic model. This calibration indicates that the simple model is more than adequate to determine wheel unloadings in design, and that the more complex aspects of the suspension, track roughness of spatial non-correlation of the aerodynamic loads have little effect on the calculated CWCs. Finally possible extensions to the modelling methodology are outlined – in terms of investigating a range of effects on wheel unloading dynamics, the extension of the method to investigate track forces, roof displacements and pantograph / OHL displacements in cross winds.

The spreadsheet gives a simple and straightforward way of calculating the CWCs using the methodology described in the report. It is made available on the basis that the coding has not been verified in any rigorous fashion, and that the user takes full responsibility for the output. That warning being given, I hope some will find it of interest. There are two worksheets. For both the user-defined parameters are highlighted in yellow. The first calculates the CWC from a user-specified value of the characteristic velocity The second calculates the value of characteristic velocity from the vehicle geometric, mass and aerodynamic parameters as in section 11 of the above report. It uses the same values for these parameters as used in the report, but these can be changed as required.

More on Cross Wind Characteristics

Wind blows train off tracks in Xinjiang, Shanghai Daily 02-28-2007

In two previous blog posts I have discussed the method for calculating cross wind characteristics for train overturning in high winds that is set out in Baker et al (2019). In the first, I used the approach to look at what might be regarded as the “best” shape for trains in overturning terms, and in the second I looked at the methodology itself and tried to understand the quite complex form of the solution of the governing equations. In this post, I will consider the shape of the cross wind characteristics that are predicted by the method and consider how the characteristics change as the form of the lee rail aerodynamic rolling moment characteristic changes.

The method itself is straightforward and is given in the box below taken from a previous blog post. It assumes a simple three mass model of a train under the action of a wind gust and, through a suitable assumption for the form of the rolling moment characteristic allows reasonably simple formulae for the cross wind characteristic to be calculated. The method is considerably simpler than the methodology outlined in “Railway Applications – Aerodynamics, Part 6: Requirements and Test Procedures for Cross Wind Assessment. CEN EN 14067-6:2018” where a multi degree of freedom dynamic model of the train is required, and an artificial wind gust is imposed. I am strongly of the view that the complexity of the latter method is unjustified for two basic reasons. Firstly the use of a highly accurate multi-degree of freedom dynamic model is inappropriate when the input wind gust and aerodynamic characteristics have major uncertainties associated with them and the output is used in very approximate risk calculations; and secondly because the CEN method of specifying the wind gust is theoretically unsound and not representative of a real wind gust as I have argued elsewhere. In any case the methodology I use here has actually been compared against the CEN methodology and can be made to be in good agreement if properly calibrated. I would be the first to admit that a more detailed calibration of the method for a range of “real” effects such as track roughness, turbulence scale, suspension effects etc. is probably required, but its simplicity of use has much to commend it, particularly in helping to understand the physical processes involved.

The methodology of Baker et al (2019)

Those points being made, now let us turn to the matter in hand. The methodology starts from a curve fit of the measured or calculated lee rail rolling moment coefficients. The forms chosen are shown in Figure 1 below and effectively requires the specification of four parameters – the lee rail rolling moment coefficient at 30 and 90 degrees yaw, and the exponents of the curve fits n1 and n2, the first in the low yaw angle range, and the second in the high yaw angle range.

Figure 1. Curve fit formats to lee rail rolling moment characteristic

This curve fit then leads to the formulae for CWCs in the two yaw angle ranges given as equations A and B in the box above.. These give the values of normalized overturning wind speed against normalized vehicle speed, as a function of wind direction, the ratio of the lee rail moment coefficients at 90 degrees and 30 degrees and the two exponents. The normalization is through the characteristic velocity which is a function of the train and track characteristics, including the rolling moment coefficient at 30 degrees yaw.

Let us firstly consider the normalized CWCs calculated from this method. Figure 2 shows these for wind directions relative to the train direction of travel from 70 degrees to  110 degrees (where 90 degrees is the pure cross wind case). The lee rail rolling moment coefficients at 30 and 90 degrees are 4 and 6 respectively, and the exponents n1 and n2 are 1.5 and -1, all of which are typical values for a range of trains. From the figure it can be clearly seen that there are two parts of the cross wind characteristic – a low yaw angle range at the higher vehicle speeds, where the normalized overturning wind speed decreases slowly with increases in normalized vehicle speed; and a high yaw angle range for low vehicle speeds, where the normalized wind speed increases above the low yaw angle value, in some cases quite significantly. In general terms the low yaw angle curve is probably of more practical relevance as it corresponds to the normal train operating conditions, at least for high speed trains. Here there can be seen to be little variation of the characteristic with wind angle over the range from 70 to 90 degrees. The minimum value is usually at a wind angle of around 80 degrees, but the minimum is very flat and the values of normalised wind speed for a pure cross wind of 90 degrees are very close to the minimum values.

Figure 2 CWC variation with wind direction

Figure 4 CWC variation with high yaw angle exponent n2

Figure 3 CWC variation with low yaw angle exponent n1

Figure 5 CWC variation with ratio R of lee rail rolling moment coefficients at 90 and 30 degrees yaw

Figures 3 to 5 show the variation of the CWC at a wind direction of 90 degrees for a range of values of the two exponents n1 and n2 and the ratio R of the rolling moment coefficients at 90 and 30 degrees.  Firstly the low yaw angle exponent is allowed to vary between 1.0 and 2.0. Earlier work has shown that blunt nosed leading vehicle tend to have a value of n1 of around 1.1 to 1.3, and streamlined leading vehicles have values between from 1.4 and 1.7. There can be seen to be very considerable variation in the CWCs throughout the vehicle speed range as this parameter varies, with the lower values resulting in lower, and thus more critical CWCs (but remember that these are non-dimensional curves – we will deal with the dimensional case below). Variations in the high yaw angel exponent n2 and the ratio of the rolling moment coefficients have a somewhat smaller and more localized effect in the low vehicle speed range only. As to which are the most important parameters, that depends upon the type of train – for high speed trains, the low yaw angle range is critical, but for low speed trains, the yaw angles experienced in practice span the high and low yaw angle ranges so both are important.

To simplify things further, the figures suggest that if the CWCs for the low yaw angle range were used throughout the speed range, then this would be a conservative approach. Figure 6 shows such CWCs for the conditions of figure 3 for a wind direction of 90 degrees, which is very close to the minimum, critical, value, and a range of values of the exponent n1. Note that at zero normalised speed, the normalised wind speed is 1.0 in all cases. By setting the wind direction to 90 degrees, equation A in the box above takes on a very straightforward form, and values of normalised wind speed can be found for any value of normalised vehicle speed for any value of n1, although an iterative solution is required.

Figure 6. CWCs for all vehicle speeds using low yaw angle formulation only.

All the CWCs presented above have been in a dimensionless form. These can easily be converted to a dimensional form by multiplying the velocities on both axes by the characteristic velocity. This is know to vary between about 30m/s for conventional low speed trains to around 40m/s for high speed trains. The variation in the CWC for 90 degrees wind direction from Figure 2 for these two characteristic velocities is shown in figure 7. The value for 30 m/s lies well below the 40 m/s curve, with very much lower overturning wind speeds at any one vehicle speed. However whilst the high speed train with a characteristic velocity of 40 m/s has a top speed of above 300 km/h, the top speed for the low speed, conventional train with a value of 30 m/s will be around 160 km/h. So a direct comparison at the same speed is not entirely appropriate.

Figure 7 CWCs in dimesnional form

Ten of the best – a personal choice of Train Aerodynamics papers from 2022

Preamble

Since the publication of the book Train Aerodynamics – Fundamentals and Applications in 2019, I have published brief annual reviews of published papers in the field of train aerodynamics. Last year, in response to a plethora of poor quality papers, and the increasing use of sophisticated CFD techniques to tackle somewhat trivial problems, I changed the format slightly and presented brief comments on the ten “best” papers published in 2021. This seems to have been a popular format and has attracted almost 400 views in the last year, so I will repeat it this year. The concept of “best” is of course a wholly subjective one, and in reality, I have chosen the papers that follow for a number of reasons – their intrinsic quality, the fact that they address novel issues, or that the subject matter simply interests me. There are no doubt others I could have included. Nine out of the ten come from the Journal of Wind Engineering and Industrial Aerodynamics, which seems to have established its place as the leading journal in this field.

2022 seems to have been the “year of the wind fence” with a number of papers looking at the effectiveness of wind fences of different types and in different locations in protecting trains from cross winds, using both computational and experimental techniques. Although most of these have been competently carried out within their limitations, to choose just one for the following list would have been difficult, and I have thus chosen not to include any.  The papers that are presented are arranged in a number of sections that correspond to Chapters in Train Aerodynamics – Fundamentals and Applications – pressure transients (2 papers), pantographs (1), trains in high winds (3), trains in tunnels (3) and emerging issues (1).

Finally, on a personal note, it has now been five years since I retired from the University of Birmingham, and I am very conscious that I am to some degree losing contact with the latest developments in the rail industry. Thus, whilst I will continue to keep an eye on train aerodynamics papers and may well comments on them individually in this blog, this will be my last annual review of the field. Unless of course I change my mind.

Pressure transients

600 km/h moving model rig for high-speed train aerodynamics

A maglev train with a speed of 600 km/h or higher can fill the speed gap between civil aircrafts and wheel rail trains to alleviate the contradiction between the existing transportation demand and actual transport capacity. However, the aerodynamic problems arising due to trains running at a higher speed threaten their safety and fuel efficiency. Therefore, we developed a newly moving model rig with a maximum speed of 680 km/h to evaluate aerodynamic performance of trains, thus determining the range of the aerodynamic design parameters. In the present work, a launch system with a mechanical efficiency of 68.1% was developed, and a structure of brake shoes with front and rear overlapping was designed to increase the friction. Additionally, a device to suppress the pressure disturbances generated by the compressed air, as well as a double track with the function of continuously adjusting the line spacing, were adopted. In repetitive experiments, the time histories of pressure curves for the same measuring point are in good agreement. Meanwhile, the moving model test and full-scale experimental result of maglev trains passing each other in open air are compared, with an error less than 4.6%, proving the repeatability and rationality of the proposed moving model.

This paper is mainly concerned with a description of a new 600 km/h moving model rig at Changsha in China. It is a remarkable piece of equipment, with sophisticated firing and braking systems. The development costs must have been significant. Having worked with moving model rigs in the past, I know that they can be prone to continual minor breakdown and breakages, particularly at high speeds, and it would be nice to know how reliable the new rig is, how many runs can be achieved in a day and so on. From the picture showing the maglev model that was used, there can already be seen to be signs of damage! The experimental results that are shown are not particularly novel, and one wonders if the equivalent results could not have been obtained on lower speed rigs and then scaled by (velocity)2. But nonetheless the authors (all seven of them) are to be congratulated on their efforts

Characteristics of transient pressure in lining cracks induced by high-speed trains.

Rapidly changing pressure waves in the tunnel can aggravate the crack propagation and cause concrete blocks to fall off, posing a threat to trains. Therefore, the influences of aerodynamic pressure on the lining cracks should be considered for high-speed railway tunnels in service. In this paper, the governing equations of air in cracks were derived based on the conservation of mass, momentum, and energy, which was verified by numerical simulations using the software FLUENT. The proposed model was used to analyze the influence of train speed and crack shape on the pressure distribution, peak value and pressure waveform in the crack. Subsequently, the crack tip damage was calculated. The results show that the abrupt change of pressure can amplify the pressure and damage of the crack tip, which can be aggravated by the increase of train speed and crack mouth width.

I found this a really interesting paper that addresses an issue that has not been considered in the past – the amplification of tunnel pressure transients within cracks in the concrete lining of tunnels leading to further damage and crack growth. It is a very neat combination of a theoretical approach informed by CFD work, that leads into a structural damage assessment. Clearly the authors have given considerable thought to the issue and have used the analytical and computational tools at their disposal wisely and intelligently.

Pantographs

Influence of train roof boundary layer on the pantograph aerodynamic uplift: A proposal for a simplified evaluation method

The mean contact force between pantograph collectors and contact wire is affected by the aerodynamic uplift generated by aerodynamic forces acting on pantograph components. For a given pantograph geometry, orientation and working height, aerodynamic forces are strongly influenced by the position of the pantograph along the train roof, since an aerodynamic boundary layer grows along the train. This paper shows the experimental results of aerodynamic uplifts of full-scale pantographs located at four different positions along the roof of a high-speed train and adopts CFD simulations to examine the effect of the boundary layer velocity profile on the measured experimental forces. It is quantitatively demonstrated that the same pantograph located at different positions along the train roof can show relevant differences in the aerodynamic uplift, only due to the different flow characteristics. Moreover, a new simplified methodology is proposed to evaluate the aerodynamic uplifts at different positions of the pantograph along the train. Results of the proposed methodology are validated against full scale experimental results and full CFD simulations exploiting the complete model of the pantograph installed on the train roof.

This paper addresses an issue that has long been ignored – how the varying nature of the boundary layer on the train roof affects the aerodynamic performance of pantographs. In the past the aerodynamic coefficients have been assumed not to vary wherever the pantograph was placed in relation to the train nose. It represents a very elegant combination of large-scale wind tunnel experiments and CFD analysis, exploiting the strength of both methodologies, and leads to a straightforward and practical design methodology.

Trains in high winds

Wind tunnel test on the aerodynamic admittance of a rail vehicle in crosswinds

The aerodynamic admittance of a rail vehicle was investigated by wind tunnel test. Aerodynamic force was measured in the cases of three typical railway structures, including on the flat ground, above an embankment, and on a bridge, under two turbulent flow fields. First of all, three-component aerodynamic coefficients of the vehicle on each structure were obtained under uniform flow with respect to three wind attack angles and four wind direction angles. Secondly, the aerodynamic forces on the vehicle and the corresponding wind speed were evaluated to establish an aerodynamic admittance function of the vehicle. The aerodynamic admittance of the rail vehicle approximated a constant value in the low-frequency domain, but decreased with the reduced frequency increasing. The effects of the different reduced frequencies on the drag are greater than the lift admittance of the vehicle, while moment admittance stays steady-state. Finally, in order to reflect the unsteady characteristics of the buffeting force on the vehicle, the aerodynamic admittance functions of the vehicle were fitted to the expression of the frequency response function of a mass-spring-damping system, which was then verified. Furthermore, the effects of flat terrain and mountainous terrain were investigated, revealing that the influence of turbulence intensity on aerodynamic admittance is significant.

This experimental paper is the companion of a more theoretical one that was also published in 2022. This theoretical approach to describing aerodynamic admittances is based on work that I carried out in 2010, and it is good to see it much more fully investigated experimentally than myself and my co-workers were able to achieve at the time, with high quality aerodynamic admittance data being obtained for a range of turbulence simulations, and infrastructure and train geometries. There is more work to do however, in investigating just how important the concept of aerodynamic admittance actually is in train overturning calculations and how does its use affect the magnitude of the crosswind characteristics or CWCs (plots of accident wind speed against vehicle speed). The limited work myself and colleagues carried out on this a decade ago as we were developing a simple analytical framework for CWCs would suggest the effect is small, but it would be good to quantify this, and the results outlined in this paper would enable this to be done.

Impact of the train-track-bridge system characteristics in the runnability of high-speed trains against crosswinds – Part I: Running safety

This paper studies the influence of different factors related to the structure-track-vehicle coupling system in the train’s stability against crosswinds, namely the bridge lateral behaviour, the track condition and the train type. With respect to the former, a parametrization of an existing long viaduct with high piers has been carried out to simulate different lateral flexibilities. The study concluded that the bridge’s lateral behaviour has a negligible impact in wind-induced derailments. Dynamic analyses considering four scenarios of track condition, ranging from ideal to poorer condition, but still within the limits stipulated by the codes, have also been carried out, leading to the conclusion that the track irregularities influence the running safety mainly on the higher train speed levels. This is due to the fact that the Nadal and Prud’homme indexes strongly depend on the wheel-rail lateral impacts, which become more pronounced for higher speeds and under poorer track conditions. Finally, four different trains have been adopted in the study to cover a wide range of vehicles. The results proved the importance of carefully considering the trains used in the analysis, since the train’s weight may vary significantly, leading to considerable different results in terms of vehicle’s stability against lateral winds.

This is the first of a two-part paper that considers the effect of various system characteristics on train behaviour in cross winds. This paper considers the safety issue, whilst its companion considers passenger comfort issues. The analysis uses simulations of wind fields, with a sophisticated MDOF train dynamic model and looks at the effect of bridge flexibility, track roughness and train type. With regard to the former, the effects on the calculated CWCs is small. Whilst this calculation is for a concrete viaduct, the results must cast considerable doubt on the analysis of a plethora of recent papers that have considered the movement of trains over bridge of different types, using highly complex methodology to describe bridge vibrations – was such complexity really required? The effect of track roughness on CWCS was shown to be somewhat more significant and is an issue that perhaps needs to be taken into account in any future work in my view. Finally, and intriguingly, the authors show that in some instances the Prud’homme derailment criterion is critical rather than the train stability criterion and suggest that this effect ought to be taken into account in the development of CWCS. This is a significant paper, and, with seven authors, shares the prize for most contributors in this selection. They are all to be applauded!

Numerical study of tornado-induced unsteady crosswind response of railway vehicle using multibody dynamic simulations.

The tornado-induced unsteady crosswind responses of railway vehicles are investigated by using multibody dynamic simulations. Firstly, a tornado-induced aerodynamic force model is proposed by using the equivalent wind force method and the quasi-steady theory and validated by the experimental data. The Uetsu line railway accident caused by tornado winds on December 25, 2005 is then investigated by the proposed tornado-induced aerodynamic force model and the multi-body dynamic simulation. The predicted accident scenes show favorably agreement with those obtained from the accident survey when the maximum tangential velocity of tornado is around 41 m/s and the core radius is 30m. Finally, the dynamic amplification factor (DAF) for railway vehicles in tornado winds is systematically studied and it increases as the passing time decreases. It is found that the DAF can be effectively suppressed as the damping parameters increase while it decreases slightly as the natural frequency increases. A simple method to predict the DAF is also proposed based on simulation results.

This paper addresses an ongoing issue in the study of the effect of cross winds on trains – is the quasi-steady methodology adequate or are more complex models required – this time in the context of vary rapidly varying tornado loading. In the analysis the use of the discontinuous Rankine model (without radial inflow) and Burgers Rott model (which was used way outside its low Reynolds number region of applicability) somewhat limits the adequacy of the analysis, but probably not in a very significant way. The modelling is calibrated using a low speed moving model experiment. The use of the dynamic model enables significant details of the overturning process to be revealed, and shows that for rapid changes in flow velocity, there are significant overshoots in train forces from the quasi-steady values. I do wonder however, in view of the fact that tornado wind field modelling is a very uncertain procedure (and likely to remain as such) whether the complexity of the use of dynamic models is actually justified. The jury is still out on this issue I think.

Trains in tunnels

Micro-pressure wave radiation from tunnel portals in deep cuttings

The reflection and radiation of steep-fronted wavefronts at a tunnel exit to a deep cutting is studied and contrasted with the more usual case of radiation from over-ground portals. A well-known difference between radiation in odd and even dimensions is shown to have a significant influence on reflected wavefronts, notably causing increased distortion that complicates analyses, but that can have practical advantages when rapid changes are undesirable. Likewise, micro-pressure waves radiating from the portal into a cutting are shown to exhibit strong dispersion that does not occur in the corresponding radiation into an open terrain. In the latter case, formulae that represent the behaviour of monopoles and dipoles are commonly used to estimate conditions beyond tunnel portals, but no such simple formula exists (or is even possible) for cylindrical radiation that is characteristic of MPWs in cuttings. An important outcome of the paper is the development of an approximate relationship that predicts the maximum amplitudes of these MPWs with an accuracy that should be acceptable in engineering design, at least for initial purposes. The formula shows that peak pressure amplitudes decay much more slowly than those from an overground portal, namely varying approximately as r 0.5 compared with r 1, where r denotes the distance from the portal.

This paper describes a thoughtful, analytical study that addresses the effects of deep cuttings at the exit of tunnels on the reflected and transmitted pressure waves. It is shown that the reflected waves take longer to develop and are more spread out than with a tunnel outlet on level ground and that the radiating pressure wave (the MPVs) decay much less rapidly. The paper gets to the heart of the basic assumptions underlying tunnel pressure wave analysis and brings to light issues that users of commercial software need to be very aware of.

Experimental study on transient pressure induced by high-speed train passing through an underground station with adjoining tunnels

Transient pressure variations on train and platform screen door (PSD) surfaces when a high-speed train passed through an underground station and adjoining tunnel were studied using a moving model test device based on the eight-car formation train model. The propagation characteristics of the pressure wave that was induced when the train passed through the station and tunnel at a high speed were discussed, and the effects of the train speed and station ventilation shaft position on the surface pressure distribution of the train and PSDs were analyzed and compared. The results showed that the pressure fluctuation law is different for the train and PSD surfaces, and the peak pressure increases significantly with an increase in the train speed. Ventilation shafts changed the pressure waveform on the surface of the train and PSDs and greatly reduced the peak pressure. A single shaft at the rear end of the platform and a double shaft at the station had the most significant effect on relieving transient pressure on the surface of the train and PSDs, respectively. Compared with the case with no shaft, these two shafts reduced the maximum amplitude pressure variation of the train and PSD surfaces by 46.3% and 67.4%, respectively.

This paper describes a nicely set up and carried out series of experiments using a moving model rig. The situation that is considered (an underground station in a high-speed tunnel network) is quite generic and could form a useful test case for airflow calculation methods. The effect of air shafts on reducing pressures is very clear. It would have been nice to see more variations of air shaft geometry in the experimental programme, but the authors probably felt they had more than enough to do.

Field test for micro-pressure wave reduction measurement by area optimization of windows of tunnel hoods.

The air compression of a high-speed train entering a tunnel results in micro-pressure waves (MPWs), which can cause environmental problems. To mitigate MPWs, tunnel hoods with discrete windows are installed at the tunnel entrances. By properly adjusting the window conditions, the efficiency of the tunnel hood in mitigating MPWs can be enhanced. Per Japanese convention, window conditions are optimized by changing the opening/closing pattern in the longitudinal direction (pattern optimization). The optimization pattern of the windows is fundamentally different if there is a change in the train speed, train nose length, the relative position between the train and the windows, or the train nose shape. Therefore, for extremely long tunnel hoods, the optimal state of the windows is almost impossible to detect numerically or experimentally using pattern optimization. In this study, we realized a rapid and simple optimization of the windows of the tunnel hood (i.e., area optimization) for mitigation of MPWs by field measurements. The result demonstrated that the area optimization considerably helps in mitigating the MPWs, despite the simplicity of the procedures.

To reduce MPW magnitudes, the initial gradient of the pressure waves caused by train entry into the tunnel need to be minimised (since these steepen along the tunnel, with steeper waves producing stronger radiated MPWs at the outlet). One way of doing this is to design a variable area entrance hood, with openings along the side so that the pressure wave builds up gradually. The optimisation of these openings has in the past been somewhat hit and miss, and it difficult to know what is the optimal configuration. This paper describes a simple optimization methodology and presents a series of quite ambitious full-scale experiments to validate this methodology.  The final result is a very simple but effective arrangement of openings which represents the best that can be achieved.

Emerging issues

Diffusion characteristics and risk assessment of respiratory pollutants in high-speed train carriages

Due to the density of people in the cabins of high-speed trains, and the development of the transportation network, respiratory diseases are easily transmitted and spread to various cities. In the context of the epidemic, studying the diffusion characteristics of respiratory pollutants in the cabin and the distribution of passengers is of great significance to the protection of the health of passengers. Based on the theory of computational fluid dynamics (CFD), a high-speed train cabin model with a complete air supply duct is established. For both summer and winter conditions, the characteristics of the flow field and temperature field in the cabin, under full load capacity, and the diffusion characteristics of respiratory pollutants under half load capacity are studied. Taking COVID-19 as an example, the probability of passengers being infected was evaluated. Furthermore, research on the layout of this type of cabin was carried out. The results show that it is not favorable to exhaust air at both ends, as this is likely to cause large-area diffusion of pollutants. The air barrier formed in the aisle can assist the ventilation system, which can prevent pollutants from spreading from one side to the other. Along the length of the train, the respiratory pollutants of passengers almost always spread only forward or backward. Moreover, when the distance between passengers and the infector exceeds one row, the probability of being infected does not decrease significantly. In order to reduce the probability of cross infection, and take into account the passenger efficiency of the railway, passengers in the same row should be separated from each other, and it is best to ride on both sides of the aisle. In the same column, passengers only need to be separated by one row, and it is not recommended to use the middle of the carriage. The number of passengers in the front and back half of the cabin should also be roughly the same.

This is an interesting and important paper, arising of course out of the recent pandemic. Through the use of reasonably straightforward CFD methodology, the spread of pathogen from any point within a railway carriage to any other point can be calculated, and from this the probability of infection can be ascertained. This methodology may have widespread future use and can be used to inform passenger loading configurations with to minimise infection probabilities. The calculations were restricted to likely infection from an infected passenger in a small number of locations. There is no reason why the number of locations should not equal the number of possible passenger conditions and a matrix produced on of infection in seat i due to an infected individual in seat j, which would enable a fuller picture of infection rates to be developed.

Cross Wind Characteristics – a mathematical curiosity

Readers of this blog will know that one of the subjects that I have worked on over the last 40+ years has been the effect of cross winds on trains. By this time, one would have thought that I should have plumbed the depths of the topic, but it still has the ability to surprise. In this short (and very nerdy) post I want to describe a mathematical curiosity associated with this subject that I have recently become aware of.

Box 1, CWC Calculation methodology

In the book “Train Aerodynamics – fundamentals and applications” I set out a simple methodology for calculating Cross Wind Characteristics (CWCa) – essentially plots of overturing wind speed against train speed. This is based on a simple three mass model and the equations are set out in Box 1 above – equation (A) for the low yaw angle range, and equation (B) for the high yaw angle range. I won’t describe this in further detail here – the book only costs £132 on Amazon, so any interested readers can find a fuller description there and provide some minimal royalties to myself and the other authors.

Recently I have had occasion, as part of a consultancy project, to develop simple spreadsheet to enable CWCs to be calculated for a range of different types of rail vehicle. The method I chose was to solve equation (A) for low yaw angles below the critical yaw angle and equation (B) for high yaw angles above the critical angle, using the Newton Raphson iterative method. These equations give an explicit solution for the overturning wind speed at a train speed of zero. The value of train speed is then increased in small increments up to the vehicle maximum operating speed, with the first estimate in the iteration at any one wind speed being the converged value of wind speed from the previous calculation with a slightly lower train speed. Convergence is usually very rapid, usually just one or two iterations.

Figure 1 Calculated CWCs for n1=1.5, n2=0 for wind directions up to 90 degrees

Figure 2 Calculated CWCs for for n1=1.5, n2=0 for wind directions above 90 degrees

Figure 3 Calculated CWCs for for n1=1.5, n2=-0.5 for wind directions above 120 degrees

The methodology in general worked well, and some of the results for different wind directions relative to the train direction of travel are shown in Figures 1 and 2 (for lee rail rolling moment coefficients at 30 and 90 degrees of 2.2 and 3.5 respectively and parameters n1 and n2 of 1.5 and 0.0, i.e. a steadily increasing rolling moment coefficient up to the critical yaw angle, and a constant value above that angle). The two yaw angle ranges can be clearly seen, with the lower yaw angle range at the higher train speeds, and the higher yaw angle range at the lower train speeds. For the train aerodynamic characteristics shown here, the calculations are very stable up to a wind direction of 120 degrees. However, if the calculation is carried out for higher wind directions, then something odd happens and the iteration becomes unstable as can be seen for the 135 and 150 degree cases in figure 2. This effect is even more severe for different rolling moment characteristics. Figure 3 shows the CWCs for the same rolling moment coefficients and value of n1, but with a value of n2=-0.5 and thus with a peak at the critical yaw angle, which is typical of high-speed trains. Here we can see major instabilities for wind directions above 120 degrees. I was very puzzled as to why this was the case. Whilst in practical terms this is of no significance, as the overturning wind speeds for such wind directions are high and not close to the minimum critical value at any one vehicle speed, but nonetheless it would still be good to understand what was going on.

After playing around with the equations for a while, I found the best way to understand this was to regard equations (A) and (B) as quadratic equations in train speed and solve for train speed for a range of values of overturning wind speed. This is the wrong way round of course, as the vehicle speed is really the independent variable that can be specified, and the wind speed is the dependent variable that needs to be calculated but solving the equations in this way proved to be illustrative.

As the equations are quadratics, there are two solutions for train speed for each value of wind speed for each equation, and regions of the vehicle speed / wind speed plane where no solutions exist. There are thus four distinct solutions to the equations, two for the low yaw angle range and two for the high yaw angle range. These are shown for a range of different wind directions in Figure 4 for the same case as in figures 1 and 2. Here the solutions are shown for both positive and negative train speeds. The critical yaw angle condition is indicated by the short-dotted lines – between the lines the high yaw angle curves will form the CWC and outside them the CWC will be formed from the low yaw angle curves. The calculated CWCs (in the positive velocity quadrant) are shown by the long-dotted line.

a) Wind direction = 30 degrees

b) Wind direction = 60 degrees

c) Wind direction = 90 degrees

d) Wind direction = 120 degrees

e) Wind direction = 150 degrees

Figure 4 Complete solutions of equations A and B for for n1=1.5, n2=0

Consider first the 90 degrees yaw angle case (Figure 4c). Here the solutions are symmetric about the wind speed axis, and the CWC simply takes the positive high yaw angle solution at low vehicle speeds, and the low yaw angle solution at higher vehicle speeds. As the wind direction moves away from this case, the solutions become skewed, although there is still a degree of symmetry about the 90 degreecase, with the 30 degrees case being the image of the 150 degrees case, and the 60 degrees case being the mirror image of the 120 degrees case.

For the 30 degree case the CWC is formed entirely from a solution to  a low yaw angle equation. At 60 and 90 degrees the CWC is formed from one low yaw angle solution, and one high yaw angle solution. At 120 degrees, the CWC consists of one low yaw angle solution and two high yaw angle solutions, whilst at 150 degrees the CWC consists of two low yaw angle and two high yaw angle solutions. There is thus considerable complexity here that is not fully revealed by simply considering the direct calculation of the CWC.

But coming back to the reason for this study, a consideration of the 150 degrees case shows the reason for the instabilities in figures 2 and 3. One of the high yaw angle curves that comprise the CWC doubles back on itself – ie there are two values of normalized wind speed that have the same values of train speed. The iterative method is thus jumping from one value to another and not converging,

As I said, this is not a practical issue as the overturning wind speeds in the wind direction range above 120 degrees are significantly higher than the minimum values which tend to occur around a wind direction of 80 degrees. The iterative calculation method for wind speed at a particular vehicle speed should only be used with caution in this range, and if values are required, the rather more cumbersome solutions for vehicle speed at a particular value of wind speed should be used. In personal terms the graphs of the solutions of figure 4 are rather attractive and their symmetry and form satisfying, and it was fun trying to sort out the reason for the instabilities. Being retired one has the leisure for this sort of thing! Perhaps however it is no bad thing to appreciate a little more the complexities behind what is intended to be a simple calculation method for CWCs.

Ten of the best – a personal choice of Train Aerodynamics papers from 2021

Preamble

In January 2020 and January 2021, I posted quite lengthy blog posts that attempted to collate all the published papers in train aerodynamics over the previous year  – see here for the 2020 post and here and here for the two part 2021 post. . These were intended as supplements to the book “Train Aerodynamics – Fundamentals and Principles” published in 2019. These blog posts have been quite widely read. At the time of writing (mid-January 2022) the 2020 post has had 190 views and the two parts of the 2021 post 129 and 70 views. It had been my intention to do something similar for the papers published in 2021. However, I have changed my mind on this, and instead will take a different approach in this post. My reasons for this are twofold.

  • The number of papers in the field continues to proliferate and, quite frankly, many of them are of poor quality. This seems to be driven by the need, in some jurisdictions, for research students to publish papers in order to be awarded a PhD. This inevitably encourages a low standard of output. Also, I have noticed an increasingly disturbing trend, whereby when a paper is rejected by one of the higher quality journals, it is submitted in much the same form to other journals with less impact.  I have seen a number of such papers sent to me to review by different journals – and on two occasions in 2021 I have been sent the same paper by three journals. Obviously I have little influence on how researchers submit papers, other than through the normal reviewing process, but there seems to me no reason to give such papers the benefit of a mention in any comprehensive annual compilation.
  • The use of CFD techniques in train aerodynamics, which is proliferating at the same rate as the number of papers, is giving me increasing concern. CFD techniques ranging from RANS to LES are exceptionally useful tools in all fluid dynamics research and the same applies in the train aerodynamics field. But they are as much tools as any physical model tests and need to be used and interpreted very carefully. There are many investigators who do just that, including colleagues in my own institution. However, I fear that that is not always the case Specifically, the use of such techniques is in many circumstances becoming divorced from practical reality. There is a tendency to apply quite high level, but inflexible, CFD methods (such as IDDES) to look at quite trivial problems where much simpler methods could have given equivalent answers over a wider parameter range. And in the consideration of the results from these calculations, there is often little appreciation of the uncertainty that is attached both to the CFD results themselves (for example I have seen the percentage changes in predicted drag given to two decimal places) or in relation to full scale reality, where the uncertainties are multiplied by an order of magnitude or more.  Further the results of the CFD calculations are often massively over-analysed. For example, in studies of cross wind effects on trains, I have come across papers where the predicted wake systems are analysed in very great detail, with little realisation that any such systems cannot exist in reality due to the (unsimulated) large scale turbulence in the approach flow field – as of course is the case with many wind tunnel tests. The same can be said of the analysis of many other applications. Again, there is little I can do to influence these trends, but I see no reason to publicise such work any further in blog posts.

In the light of such developments, in this post I will not present a comprehensive compilation of all the train aerodynamics papers from 2021 but will rather choose a much smaller number (ten in total) which I believe are of particular significance and likely to influence the field in the future. These are spread across the range of train aerodynamic applications including train drag studies, trains in tunnels, crosswind effects and emerging issues. The choice of what to include is of course to some degree subjective and mirrors my own interests, but I hope that readers find it of interest.

Train drag studies

On the influence of Reynolds number and ground conditions on the scaling of the aerodynamic drag of trains. Tschepe et al (2021)

Very often the effect of Reynolds number on train drag measurements or calculations is broadly ignored provided that the Reynolds number is “high enough”. This is of course not adequate, as the skin friction component of drag must vary with Reynolds number throughout the parameter range – see for example my historically rather crude analysis of the problem from 1991. This paper, drawn from the doctoral work of Tschepe) presents the results of a thorough experimental and analytical investigation into this effect, using the results from water towing tank experiments. These experiments are quite novel and deserving of attention in their own right. The three-dimensional nature of the train boundary layer is clear, and the effect of ground roughness (ie sleepers and ballast) is shown to be of some importance (see also my blog post here). A simple analytical approach, based on flat plate theory, allows a correction method to be developed for extrapolating low Reynolds number results to full scale conditions.

A field study on the aerodynamics of freight trains Quazi ei al (2021)

This paper presents the results of full-scale measurements of the pressure drag of a freight container during a typical journey. As such it provides a basic benchmark for further studies. The technique is of interest in its own right, but the basic result, that, despite the container not having other containers immediately in front and behind it, the drag coefficient is much lower than that found in other full-scale, physical model and numerical calculations is of considerable interest. The authors suggest that this is because of the container position much further down the train than in other measurements, as well as other modelling issues. The results perhaps give pause for thought about the measurement of train drag from wind tunnel tests or CFD calculations.

Tunnel aerodynamics

Influence of air chambers on wavefront steepening in railway tunnels. Liu et al (2021)

The phenomenon of micro-pressure waves (sonic booms) emitted from tunnel portals has been much studied in recent years. These are caused by the steepening of the train nose pressure wave as it passes along the tunnel, resulting in a steep wave at the tunnel exit that is not wholly reflected with some energy being transmitted out of the tunnel in the audible frequency range. The standard method for the amelioration of such effects is through the use of tapering tunnel entry portals, that reduce the initial (and thus the final) steepness of the waves. Such portals can be quite long and extend some way out of the tunnel, and indeed can be quite expensive. This paper investigates an alternative to such portals – the distribution of air chambers along the length of the tunnel that in principle reduces the steepening of the pressure wave. Using a relatively straight forward gas dynamics analytical model, the authors show that suitably designed chambers can remove the dependence of the exit wave on the steepness of the inlet wave. Guidance is given for appropriate chamber volumes and the resistance of the connectors between the chambers and the tunnel. Overall, the method has much potential for future tunnel design.

Virtual homologation of high-speed trains in railway tunnels: A new iterative numerical approach for train-tunnel pressure signature. Brambilla et al (2021)

The standard methodology to investigate the passage of pressure waves along tunnels is to use full-scale measurements to measure the pressure wave system on train entry, and then to use data from those measurements to predict the pressure wave along the length of the tunnel using one dimensional gas dynamics methods. The latter can be run many thousands of times to investigate a range of operational conditions. Clearly the required full-scale tests are expensive and complex. Recently some full CFD calculations of the flow along tunnels have been published using sliding grids, which are again highly complex and computer resource requirements limits their use to just one or two conditions. This paper presents a combined methodology where CFD calculations using a standard fixed grid are carried out to measure the pressure characteristics at train inlet to the tunnel, and these are then used in one dimensional methods. The methodology has been validated against an extensive full scale data set. Its relative cheapness and flexibility means that it has the potential to become widely used within the industry.

Semi-empirical model of internal pressure for a high-speed train under the excitation of tunnel pressure waves. Chen et al (2021)

This paper looks in detail at the development of internal pressures within train cabins in tunnels. Using a combination of commercial CFD and finite element analysis, together with simple models of internal ventilation flow, the authors looked at pressure changes due to body deformation, pressure transmission through gaps in the train envelope and transmission through the air ducts of HVAC systems. Body deformation has little effect (unsurprisingly in my view) with the balance between gap and duct transmission varying depending on the degree of opening of the latter. Whilst the analysis is complex, the results should be of interest in describing a methodology that could ultimately be applied quite straightforwardly in design.

Pressure fluctuation and a micro-pressure wave in a high-speed railway tunnel with large branch shaft. Okubo et al (2021)

This paper describes an extensive experimental programme using a moving model facility that looked at the micro-pressure waves that occur as a result of the junction between the main tunnel and large branch tunnels with similar diameter (which would be used for passenger evacuation). The results are skillfully interpreted through the use of analytical models and show that in some instances the micro pressure wave emitted from the branch tunnel can be of greater magnitude than that omitted from the main tunnel. Both the physical and analytical modelling methodology have potential use for the design of complex branching tunnel systems.

Trains in crosswinds

Influence of the railway vehicle properties in the running safety against crosswinds. Heleno et al (2021)

I include this paper with some temerity, as I am named as an author – albeit the last one. However, my role was very minor, and mainly involved discussions on some technical details and proof reading the final draft (although they all contribute to my long term aim of getting to 200 journal publications before my demise!). This paper considers the effect of various railway vehicle properties on the overturning risk of a rail vehicle. It uses realistic vehicle dynamic and track roughness models and generates realistic time series of wind speed from wind statistical parameters. It is more rigorous in its modelling than the current method used in the CEN code, which uses a very simplified wind gust model. A thorough parametric analysis of the various vehicle parameters is carried out. In my view the major point to emerge is the lack of sensitivity of the calculated overturning wind speeds and safety risk to variations in the train suspension parameters. In principle this could lead to much simpler models for the CEN safety assessment than are used at present, where full dynamic modelling is required. This is personally satisfying as I have been arguing this very point for the last 10 to 15 years – see the discussion in this post from 2020.

Emerging issues

CWE study of wind flow around railways: Effects of embankment and track system on sand sedimentation. Horvat et al (2021)

I include this paper because it contributes to what I believe to be an important emerging issue as railways are developed in arid conditions – sand sedimentation over railway tracks. It is a straightforward CFD study of flow patterns over different railway track geometries that calculates wall shear stresses and used these to define potential regions of erosion and sedimentation. It lays the foundation for future work – possibly to integrate sediment modelling into the CFD calculations.

Investigation on flow field structure and aerodynamic load in vacuum tube transportation system. Zhong et al (2021)

This paper is a detailed CFD analysis of the flow around vacuum tube vehicles using IDDES techniques. Because of the enclosed nature of the vehicles and the well-defined geometry, this is a case where one would expect good accuracy from such calculations. Also of course the issues cannot be easily addressed by physical modelling techniques. Both subsonic and supersonic flows are considered, the nature of the flow field elucidated, and vehicle drag calculated. The results form a useful addition to the publicly available body of knowledge about the flows around such vehicles that can be used in further development of the concept. That being said, it is my firm view that, fascinating as the aerodynamics of the system might be, vacuum tube systems will not meet with wide adoption due to simple operational constraints – primarily the low capacity in comparison to conventional high speed rail systems.

General

Railway applications – Aerodynamics – Part 7: Fundamentals for test procedures for train-induced ballast projection. CEN (2021)

This is not a paper, but rather the latest offering from the CEN working group on Aerodynamics that looks at the issue of ballast flight beneath high-speed trains. It contains a wealth of information of the issues involved, economic aspects of the damage caused by ballast flight, current national practices and possible ways forward in terms of homologation. It is well put together and forms a very useful basis for further work in the field.

Pollutants, pathogens and public transport – ventilation, dispersion and dose

Preamble

The ventilation of buses and trains has come to be of some significance to the travelling public in recent years for a number of reasons. On the one hand, such vehicles can travel through highly polluted environments, such as urban highways or railway tunnels, with high levels of the oxides of nitrogen, carbon monoxide, hydrocarbons and particulate matter that can be drawn into the passenger compartments with potentially both short- and long-term health effects on passengers. On the other, the covid-19 pandemic has raised very significant concerns about the aerosol spread of pathogens within the enclosed spaces of trains and buses. There is a basic dichotomy here – to minimise the intake of external pollutants into vehicles, the intake of external air needs to be kept low, whilst to keep pathogen risk low, then high levels of air exchange between the outside environment and the internal space are desirable. This post addresses this issue by developing a common analytical framework for pollutant and pathogen dispersion in public transport vehicles, and then utilises this framework to investigate specific scenarios, with a range of different ventilation strategies.

The full methodology is given in the pdf that can be accessed via the button opposite. This contains all the technical details and a full bibliography. Here we give an outline of the methodology and the results that have been obtained.

Analysis

The basic method of analysis is to use the principle conservation of mass of pollutant or pathogen into and out of the cabin space. In words this can be written as follows.

Rate of change of mass of species inside the vehicle = inlet mass flow rate of species + mass generation rate of species within the vehicle – outlet mass flow rate of species– mass flow rate of species removed through cleaning, deposition on surfaces or decay.

This results in the equation shown in Box 1 below, which relates the concentration in the cabin to the external concentrations, the characteristics of the ventilation system and the characteristics of the pollutant or pathogen. The basic assumption that is made is of full mixing of the pollutant or pathogen in the cabin. The pdf gives full details of the derivation of this equation, and of analytical solutions for certain simple cases. It is sufficient to note here however that this is a very simple first order differential equation that can be easily solved for any time variation of external concentrations of pollutant generation by simple time stepping methods. For gaseous pollutants, the rate of deposition and the decay rate are both zero which leads to a degree of simplification.

Box 1. The concentration equation

The pdf also goes on to consider the pollutant or pathogen dose that passengers would be subjected to – essentially the integration of concentration of time history – and then uses this in a simple model of pathogen infection. This results in the infection equation shown in Box 2. Essentially it can be seen that the infection risk is proportional to the average concentration in the cabin and to journey length.

Box 2. Infection equation

The main issue with this infection model is that it assumes complete mixing of the pathogen throughout the cabin space and does not take account of the elevated concentrations around an infected individual. A possible way to deal with this is set out in the pdf. Further work is required in this area.

Ventilation types

The concentration and infection equations in Boxes 1 and 2 do not differentiate between the nature of the ventilation system on public transport vehicles. Essentially there are five types of ventilation.

  • Mechanical ventilation by HVAC systems
  • Ventilation through open windows
  • Ventilation through open doors
  • Ventilation by a through flow from leakage at the front and back of the vehicle (for buses only)
  • Ventilation due to internal and external pressure difference across the envelope.

Simple formulae for the air exchange rates per hour have been derived and are shown in Box 3 below. By substituting typical parameter values the air exchange rates are of the order of 5 to 10 air changes per hour for the first four ventilation types, but only 0.1 for the last. Thus ventilation due to envelope leakage will not be considered further here, although it is of importance when considering pressure transients experienced by passengers in trains.

Box 3. Ventilation types

Scenario modelling

In what follows, we present the results of a simple scenario analysis that investigates the application of the above analysis for different types of vehicle with a range different ventilation systems, running through different transport environments. We consider the following vehicle and ventilation types.

  • An air-conditioned diesel train, with controllable HVAC systems.
  • A window and door ventilated diesel train.
  • A bus ventilated by windows, doors, and externally pressure generated leakage.

Two journey environments are considered.

  • For the trains, a one-hour commuter journey as shown in figure 1, beginning in an inner-city enclosed station, running through an urban area with two stations and two tunnels, and then through a rural area with three stations (figure 1).
  • For buses, a one-hour commuter journey, with regular stops, through city centre, suburban and rural environments (figure 2).

Results are presented for the following scenarios.

  • Scenario 1. Air-conditioned train on the rail route, with HVACs operating at full capacity throughout.
  • Scenario 2. As scenario 1, but with the HVACs turned to low flow rates in tunnels and enclosed stations, where there are high levels of pollutants.
  • Scenario 3. Window ventilated train on rail route with windows open throughout and doors opened at stations.
  • Scenario 4. As scenario 3, but with windows closed.
  • Scenario 5. Window, door and leakage ventilated bus on bus route with windows open throughout and doors opened at bus stops.
  • Scenario 6. As scenario 5, but with windows closed.

Details of the different environments and scenarios are given in tables 1 and 2.  Realistic, if somewhat arbitrary levels of environmental and exhaust pollutants are specified for the different environments – high concentrations in cities and enclosed railway and bus stations and lower concentrations in rural areas. The air exchange rates from different mechanisms are also specified, with the values calculated from the equations in Box 3. Note that, in any development of this methodology, more detailed models of the exhaust emissions could be used that relate concentrations at the HVAC systems and window openings to concentrations at the stack, which would allow more complex speed profiles to be investigated, with acceleration and deceleration phases.

Figure 1. The rail route

Figure 2. The bus route

Table 1. The rail scenarios

Table 2. The bus scenarios

The results of the analysis are shown in figures 3 and 4 below for the train and bus scenarios respectively. Both figures show time histories of concentrations for NO2, PM2.5, CO2 and Covid-19, together with the external concentrations of the pollutants.

For Scenario 1, with constant air conditioning, all species tend to an equilibrium value that is the external value in the case of NO2 and PM2.5, slightly higher than the external value for CO2 due to the internal generation and a value fixed by the emission rate for Covid 19.

For Scenario 2, with low levels of ventilation in the enclosed station and in the tunnels, NO2 and PM2.5 values are lower than scenario 1 at the start of the journey where the lower ventilation rates are used, but CO2 and Covd-19 concentrations are considerably elevated. When the ventilation rates are increased in the second half of the journey all concentrations approach those of Scenario 1.

The concentration values for scenario 3, with open windows, match those of Scenario 1 quite closely as the specified ventilation rates are similar. However, for Scenario 4, with windows shut and only door ventilation at stations, such as might be the case in inclement weather, the situation is very different, with steadily falling levels of NO2 and PM2.5, but significantly higher values of CO2 and Covid-19. The latter clearly show the effect of door openings at stations.

Figure 3. The train scenario results

Now consider the bus scenarios in figure 4. For both Scenario 5 with open windows and doors, and Scenario 6 with closed windows and open doors, the NO2 and PM2.5 values tend towards the ambient concentrations and thus fall throughout the journey as the air becomes cleaner in rural areas. The internally generated CO2 and Covid-19 concentrations for CO2 and Covid-19 are however very much higher for Scenario 6 than for Scenario 5.

Figure 5. The bus scenarios

The average values of concentration for all the scenarios is given in Table 3. The dose and, for Covid-19, the infection probability, are proportional to these concentrations. For NO2 and PM10 the average concentrations reflect the average external concentrations, and, with the exception of Scenario 4, where there is low air exchange with the external environment for part of the journey. The average concentrations for CO2 and Covid-19 for the less ventilated Scenarios 4 and 6 are significantly higher than the other. For Covid-19, the effect of closing windows on window ventilated trains and buses raises the concentrations, and thus the infection probabilities, by 60% and 76% respectively.

Table 3. Average concentrations

Closing comments

The major strength of the methodology described above is its ability, in a simple and straightforward way, to model pollutant and pathogen concentrations for complete journeys, and to investigate the efficacy of various operational and design changes on these concentrations. It could thus be used, for example, to develop HVAC operational strategies for a range of different journey types. That being said, there is much more that needs to be done – for example linking the methodology with calculations of exhaust dispersion around vehicles, with models of particulate resuspension or with models of wind speed and direction variability. It has also been pointed out above that the main limitation of the infection model is the assumption of complete mixing. The full paper sets out a possible way forward that might overcome this. Nonetheless the model has the potential to be of some utility to public transport operators in their consideration of pollutant and pathogen concentrations and dispersion within their vehicles.

The calculation of Covid-19 infection rates on GB trains

Preamble

In a recent post I looked at the ventilation rate of trains without air conditioning and compared them with the ventilation rate of airconditioned trains. The context was the discussion of the safety of trains in terms of Covid-19 infection. For air conditioned trains, the industry accepted number of air changes per hour is around 8 to 10. For non-air conditioned trains with windows fully open and doors opening regularly at stations, I calculated very approximate values of air changes per hour of around twice this value, but for non-air conditioned trains with windows shut and thus only ventilated by door openings, I calculated approximate values of a of 2.0. On the basis of these calculations, I speculated that the non-air conditioned trains with windows shut probably represented the critical case for Covid-19 transmission. In that post however I was unable to be precise about the level of risk of actually becoming infected and how this related to ventilation rate.

The work of Jimenez

I have recently come across the spreadsheet tool produced by Prof. Jose Jimenez and his group at the University of Colorado-Boulder that attempts to model airborne infection rates of Covid-19 for a whole range of different physical geometries, using the best available information on pathogen transport modelling, virus production rates, critical doses etc. They base their  analysis on the assumption that aerosol dispersion is the major mode of virus transport, which now seems to be widely accepted (and as anyone who has been following my blogs and tweets will know that I have been going on about for many months). I have thus modified the downloadable spreadsheet to make it applicable to the case of a standard GB railway passenger car compartment.  A screen shot of the input / output to the spreadsheet is shown in figure 1 below.

Figure 1 Screen shot of spreadsheet input / output parameters

The inputs are the geometry of the passenger compartment; the duration and number of occurrences of the journey, the air conditioning ventilation rate; the number of passengers carried; the proportion of the population who may be considered to be immune; the fraction of passengers wearing masks; and the overall population probability of an individual being infected. In addition, there are a number of specified input parameters that describe the transmission of the virus, which the authors admit are best guess values based on the available evidence, but about which there is much uncertainty. The outputs are either the probabilities of infection, hospitalization and death for an individual on a specific journey or for multiple journeys; or the number of passengers who will be infected, hospitalized or die for a specific journey or for multiple journeys.

The spreadsheet is a potentially powerful tool in two ways – firstly to investigate the effect of different input parameters on Covid-19 infection risk, and secondly to develop a rational risk abatement process. We will consider these in turn below.

Parametric investigation

In this section we define a base case scenario for a set of input variables and then change the input variables one by one to investigate their significance. The base case is that shown in the screen shot of figure 1 – for a journey of 30 minutes repeated 10 times (i.e. commuting for a week);  80 unmasked passengers in the carriage; a ventilation rate of 8 air changes per hour; a population immunity of 50%; and a population infection rate of 0.2% (one in 500). The latter two figures broadly match the UK situation at the time of writing. For this case we have a probability of one passenger being infected on one journey of 0.096% or 1 in 1042. The arbitrariness of this figure should again be emphasized – it depends upon assumed values of a number of uncertain parameters. We base the following parametric investigation on this value. Nonetheless it seems a reasonable value in the light of current experience. The results of the investigation are given in Table 1 below.

Table 1 Parametric Investigation

The table shows the risk of infection for each parametric change around the base case and this risk relative to the base case. There is of course significant arbitrariness in the specification of parameter ranges.  Red shading indicates those changes for which the infection risk is more than twice the value for the base case and green shading for those changes for which the infection risk is less than half the value for the base case. The following points are apparent.

  • The risk of infection varies linearly with changes in journey time, population infection rate and population immunity. This seems quite sensible, but is effectively built into the algorithm that is used. 
  • Changes in ventilation rate cause significant changes in infection risk. In particular the low value of 2ach, which is typical on non-airconditioned vehicles with closed windows, increases the infection risk by a value of 3.5.
  • The effect of decreasing passenger number (and thus increasing social distancing) is very significant and seems to be the most effective way of reducing infection risk, with a 50% loading resulting in an infection risk of 28% of the base case, and a 20% loading a risk of 6% of the base case.
  • The effect of 100% mask wearing reduces the infection risk to 35% of the base case.
  • 100% mask wearing and a 50% loading (not shown in the table) results in a reduction of infection risk to 10% of the base case.

From the above, regardless of the absolute value of risk for the base case, the efficacy of reducing passenger numbers and mask wearing to reduce risk is very clear.

An operational strategy to reduce risk.

The modelling methodology can also be used to develop a risk mitigation strategy. Let us suppose, again arbitrarily, that the maximum allowable risk of being infected per passenger on the base case journey is 0.1% (i.e. 1 in a thousand). Figure 2 shows the calculated infection risk for a wide range of national infection rate of between 0.01% (1 in 10,000) to 2% (1 in 50). Values are shown for no mask and full capacity; 100% mask wearing and full capacity; and 100% mask wearing and 50 % capacity. It can be seen that the no mask / full capacity curve crosses the 0.1% line at a national infection rate of 0.2% and the 100% mask / full capacity line crosses this boundary at 0.6%.

Figure 2 Effect of national infection rate on infection risk, with and without mask wearing and reduction in loading

Consideration of the results of figure 2 suggest a possible operational strategy of taking no mitigation risks below an infection rate of 0.2%, imposing a mask mandate between 0.2% and 0.6% and adding a significant capacity reduction above that. This is illustrated in figure 3 below.

Figure 3. Mitigation of risk to acceptable level through mask wearing and reduced capacity.

As has been noted above the absolute risk values are uncertain, but such a methodology could be derived for a variety of journey and train types, based to some extent on what is perceived to be safe by the travelling public. Regional infection rates could be used for shorter journeys. Essentially it gives a reasonably easily applied set of restrictions that could be rationally imposed and eased as infection rate varies, maximizing passenger capacity as far as is possible. If explained properly to the public, it could go some way to improving passenger confidence in travel.

The calculation of train overturning risk – what type of wind tunnel tests should be used?

A Mark 3 coach – the GB benchmark vehicle

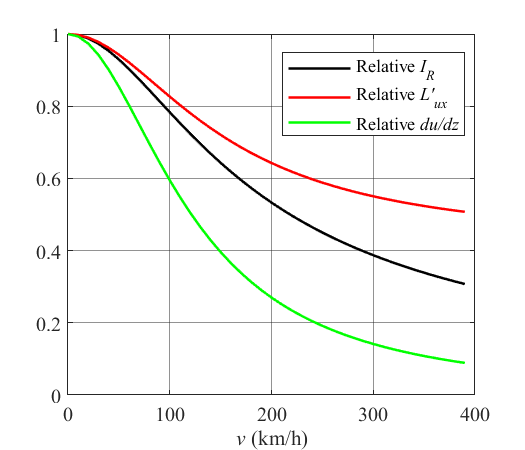
When considering the effect of crosswinds on a new train, an obvious first step is to obtain data on the aerodynamic force and moment coefficients, usually through the use of wind tunnel tests, with the forces and moment coefficients being measured for a range of yaw (wind) angles from 0 to 90 degrees. This process however is not quite as straightforward as it sounds. The conventional approach is to use static models in a low turbulence wind tunnel. This approach of course models neither the relative motion between the train and the ground, nor the effects of atmospheric turbulence. It does however have the merits of simplicity and convenience. The conventional argument often used to justify this approach is that for high-speed trains, the relative motion between the train and the wind leads to the train experiencing low levels of turbulence. Whilst this is the case to some extent, it is not a wholly adequate argument. Figure 1, from Train Aerodynamics – Fundamentals and Applications (TAFA), shows how the turbulence length scale, turbulence intensity and velocity shear relative to the train vary with train speed for a 90 degree cross wind. Values are given as ratios of the values when the train is stationary. It can be seen that even at 400 km/h, the train still experiences a turbulence intensity of around 30% of its stationary value, which one might expect to have a not insignificant effect on the flow around the train,.

Figure 1 Variation of relative values of turbulence intensity (black), turbulence length scale (red) and shear (green) with train speed for a 90 degree cross wind (from TAFA)

An alternative approach would be to use a wind tunnel simulation of the atmospheric boundary layer in which to measure the train forces and moments. This of course is only really applicable to stationary trains. On the basis of figure 1, I argued in TAFA that low turbulence wind tunnel tests would be best for train speeds greater than 200 km/h and atmospheric boundary layer tests would be best for train speeds below that value – but that of course represents rather a messy compromise. And both methods fail to address the issue of train / ground relative motion.

So what are the alternatives? The first might be thought to be the use of CFD to properly model both atmospheric effects and train / ground motion. However, the simulation of a realistic scenario requires complex CFD methodologies (usually DDES) with very complex domain boundaries that include the specification of atmospheric turbulence. The calculation of the flow field for just one yaw angle takes several weeks on supercomputer systems, and in reality CFD calculations of this type tend to mirror the low turbulence wind tunnel tests.

In physical model terms, two alternatives present themselves. The first is the measurement of cross wind forces and moments on a moving model rig such as the TRAIN Rig owned by the University of Birmingham.  Again, the experimental issues are formidable. The use of force balances within moving model rigs is not straightforward, and measurements of this type are usually made through the measurement of surface pressures with internal transducers, which because of transducer size and the need to carry out multiple runs to obtains stable average pressures requires multiple runs, with different pressure positions at any one yaw angle – a very tedious and complex process. An alternative would be to carry out conventional wind tunnel tests, but with a range of different turbulence simulations, each simulation being valid for one train speed only. The thought of such tests is enough to make wind tunnel operators consign it to the rubbish bin without much hesitation.

But the issue is important. Figure 2 shows three different sets of lee rail rolling moment coefficients for the Mark 3 coach, the GB benchmark vehicle that has run on exposed lines for many decades without incident. The three sets of coefficients are obtained from low turbulence wind tunnel tests; tests with an atmospheric boundary layer simulation with the coefficients formed from the mean values of measured forces and velocities; and those obtained from similar tests but with the coefficients formed from one-second peak values of forces and velocities (from Measurements of the cross wind forces on trains). The atmospheric boundary layer results are shown together with corresponding full scale results from field measurements on a real train. There can be seen to be significant differences between the three curves, particularly in the low yaw angle range which is important at high train speeds, with the low turbulence values being significantly above the atmospheric boundary layer values and the peak values being below the mean ones. If these coefficients are used to obtain cross wind characteristics (CWCs), which are plots of accident windspeed against vehicle speed, as outlined in another post and in TAFA chapter 11 and in a recent blog post, then the differences in acceptable windspeeds can be seen to be significant, particularly in the speed range around 200 km/h – see figure 3. Note that this plot shows train speeds of up to 400 km/h, which is wholly unrealistic for the Mark 3 coach – and certainly I wouldn’t care to be in one travelling at that speed! – but serves to illustrate the lack of agreement between the CWCs calculated using different moment coefficients. The difference in CWCs can be expected to make a significant difference to the calculation of accident risk, or to any operational restrictions that might be imposed, with the low turbulence results giving higher risk values and more severe restrictions.

Figure 2. Lee rail rolling moment coefficients for Mark 3 coach

Figure 3 Crosswind characteristics for Mark 3 coach

I have to admit this is a problem that I have been mulling over on and off for many years (which gives a rather sad picture of the life I lead I fear). My thoughts have been basically around the idea of how to obtain representative force coefficients to allow for the major effect of atmospheric turbulence at low train speeds and the much smaller effect at high speeds, perhaps by some interpolation of the low and high turbulence coefficients. This is not simple however, as there is no direct correspondence between variation of these coefficients with yaw angle and variation with train speed.

But there is perhaps another way – and that is to consider not the force and moment coefficients, but rather the CWCs shown in figure 3. It seems reasonable to me to assume that the most representative CWC would lie somewhere between the low and high turbulence characteristics, lying close to the ABL curve at low train speeds, and close to the low turbulence curves at high train speed. Thus figure 4 shows the CWCs formed from giving a variable weighting to the low and high turbulence curves at different train speeds, with a 100% weighting given to the low turbulence curves at a train speed of 0 km/h, and a 0% weighting at a train speed of 400 km/h, with a linear variation in between. More sophisticated weighting variations could be considered, but this approach is adequate for illustrative purposes. The two curves of figure 4 are for the interpolation of the CWCs calculated from the mean and peak coefficients with those obtained from the low turbulence coefficients. It can be seen that this approach significantly raises the CWCs in the mid speed range from the low speed values and will thus result in substantial risk reduction.

Figure 4. Interpolated cross wind characteristics

Up to now, I have referred to potential risk reductions in rather broad terms. It is however possible to put some numbers to these statements. Table 1 shows the accident wind speed at a train speed of 200 km/h for each of the above CWCs and the associated risk at the reference site as defined in my earlier post. For the original CWCs derived from the ABL coefficients, , the risks is of the order of 10-7 to 10-8, but for the CWC derived from the low turbulence conditions, the risk approaches 10-5 – almost two orders of magnitude greater. Whilst the absolute values of risk are quite arbitrary, it is clear that the use of the low turbulence characteristic would lead to a much more pessimistic (and perhaps unrealistic) risk assessment, and lower than necessary wind speed restrictions. The interpolated CWCs give values of risk of ca little less than 10-6, roughly midway between the atmospheric boundary layer and low turbulence values.

Table 1. Accident windspeeds and risk values for Mark 3 coach at a train speed of 200 km/h

So to conclude, the method outlined above gives a potentially realistic way of solving the problem of what type of wind tunnel test to use for train cross wind risk assessment. It requires two sets of wind tunnel experiments, one with low turbulence and one with an atmospheric boundary layer simulation, which is a more complex methodology than at present, but does not require extremely complex wind tunnel or CFD trials. The method results in lower values of calculated risk than would be the case using conventionally derived CWCs, and higher values of accident wind speeds.

Thoughts on the leakage characteristics of trains

HS2 train coming out of a tunnel

Preamble

Most modern trains are “sealed” in that they are designed to minimise the leakage of air between the inside and the outside of the cabin. There are a number of reasons for this. Firstly HVAC systems require as little leakage as possible to be able to operate efficiently. Secondly, when a train passes through a tunnel at speed, it generates large pressure transients that can cause passenger aural discomfort and pain – sealing the train attenuates or even eliminates such transients in the train interior. However the sealing of trains is never perfect and some way of quantifying leakage is required, and then of calculating the internal pressure of trains for the types of external pressure field experienced as trains pass through tunnels, allowing for this leakage. This brief post looks at the standard methodology for doing this, which is essentially empirical, and compares it firstly with methods for the calculation of leakage in buildings used by ventilation engineers, which are based on the concept of an equivalent orifice, and secondly with a new method which models leakage paths as simple pipe flows. It is shown that the empirical model currently used is consistent with the new leakage pipe model, and the use of the latter enables some of the limitations of the current method to be more fully appreciated.

The railway methodology

The standard method for assessing how well a train is sealed is to pump air into the train to raise the internal pressure to a specified level and then simply to observe the decay of pressure when the pump is turned off. It is then assumed that this pressure decay follows the simple rate equation shown in equation (1), which can be solved to give the exponential decay expression of equation (2) The parameter T is a leakage time constant and can usefully be used to quantify the degree of sealing (Note that this is usually denoted by the Greek letter tau, but this website is unable to cope with Greek letters in the text). Tests are usually carried out for static trains but can in principle be carried out for moving trains, where one might expect the degree of sealing to be somewhat less than the static case due to the relative movement of different parts of the train envelope. Thus two values of the leakage time are often defined – Tstatic and Tdynamic.  The sealing criteria themselves vary somewhat around the world and are usually expressed in terms of a minimum time for the pressure to fall from one specified value to another. These criteria are usefully summarised in Niu et al (2020). The range of criteria effectively imply values of T of the order of 10 to 60 seconds. Once a value of T has been determined, equation (1) can be used in reverse to find how  the internal pressure varies for rapidly varying external pressures, such as when trains pass through tunnels. This usually requires a numerical solution to equation (1).

The calculation of leakage in buildings

Now the approach taken in the study of building ventilation is somewhat different. A number of authors, for example Harris (1990) developed an equation for the flow in and out of buildings with both major openings such as windows, and with a distributed minor leakage openings. For the case of leakage only, which is most analogous to the train case, the basic expression used in given in equation (3). This is effectively an equation for flow through an orifice, and the basic assumption is that the leakage area can be represented by an equivalent orifice. It is then assumed that the change in internal pressure is an adiabatic process, and thus equation (4) applies. I am not altogether sure why the process should be adiabatic rather than isothermal, but that is probably due to my lack of understanding of thermodynamics. Putting these equations together gives equation (5), which is equivalent to equation (1) except that the change in internal pressure is proportional to the root of the difference between the external and internal pressures, rather than being directly proportional.

Now the analysis that leads to equation (5) assumes that the orifice coefficient remains constant. However, at low orifice Reynolds numbers, the coefficient is known to fall significantly – see Johansen (1930) and the figure below. (I find I have rather a perverse pleasure at quoting a technical paper that is almost 100 years old!). This implies that equation (5) can only be valid when the pressure differences, and associated leakage flow rates, are quite high. To investigate this further, on the basis of the experimental results shown in the figure below, we take the discharge coefficient to vary with the square root of the Reynolds number as in equation (6). Here the Reynolds number is based on the leakage velocity v and the average diameter of a single leakage path d (which can be expected to have a very much smaller area than the overall leakage area A). After some manipulation this results in equation (7). This is of exactly the same form as equation (1), and the leakage time constant can be explicitly expressed as in equation (8).

Discharge coefficient results of Johansen (1930). The x axis is the square of the Reynolds number. Values are shown for the smallest values of the orifice diameter to pipe diameter used in the experiments

There is still however an issue in applying this equivalent orifice analysis to the case of train leakage. From equation (3) above, the velocity through the orifice is directly related to the pressure difference, with the energy loss being described by the discharge coefficient. For the values of pressure difference across building facades, which are of the order of tens of Pascals, typical values of the discharge coefficient of around 0.6, result in velocities through the orifice are of the order of 1m/s. The pressure differences between the inside and outside of trains in tunnels however can be up to 2 or 3Pa, and an orifice type analysis would give velocities of 40 or 50m/s, which is clearly unrealistic. The discharge coefficient method therefore does not give an adequate energy loss to the leakage flow for high pressure differentials. So this type of analysis may be applicable in building ventilation, but does not seem appropriate for the consideration of train leakage. Some other framework needs to be developed to give the railway methodology for calculating leakage something other than an empirical basis.

Leakage tube methodology

As an alternative, it is possible to conceive of the leakage paths on a train as a set of equivalent pipes. Equation (3) can then be written in the form of equation (9) – which is effectively Darcy’s law for flow through a pipe. The energy loss in the system is determined by the Darcy friction factor. After some manipulation one arrives at the expression of equation (10), which is equivalent to equation (5). Now for high Reynolds numbers (> around 2000) the Darcy friction factor will be constant, and the rate of change of pressure will be proportional to the root of the pressure difference between inside and outside the train – as in the orifice flow analysis. However at low Reynolds numbers the Darcy friction factor varies inversely with Reynolds number as shown. This results in equation (11), which gives the rate of change of internal pressure as being proportional to the difference between the external and internal pressures rather than the root of the difference i.e. a similar form to the empirical equation (1). An equivalent value of the leakage time constant can be derived – equation (12). The energy loss in the system is very much greater than for an orifice flow.

Implications

The analysis above suggests that the leakage pipe model might form a useful tool for the interpretation of the current empirical methodology. For a pipe flow, the boundary between the laminar flow range range (when the friction factor is a function of Reynolds number) and the turbulent flow range (when the friction factor is constant) is at a value of Reynolds number of around 2000. It is straightforward, using the above equations, to calculate the pressure difference that results in a Reynolds number of 2000 for different leakage geometries. Typical values are given in the table below. It can be seen that for leakage diameters between 0.75 and 1.5mm, the value of pressure difference for the transition from laminar to turbulent flow falls from 7.7 kPa to 1.2 kPa. Typical pressure transient in tunnels have maximum values of 2 to 3 kPa. There is thus a possibility that for larger leakage holes, the laminar flow pipe flow methodology (equation 12) might not be applicable and an equation of the form of equation 10 might need to be used. In this case, the concept of leakage time is similarly not valid. The table also shows leakage times for each of the cases considered, and these can be seen to fall between 15 and 500 seconds. These all fall within the range measured in experiments, and suggests equation (12) might be a useful method for relating geometric leakage characteristics to leakage time

Train Aerodynamics Research in 2020 Part 2

Part 1 of this review can be found here

Trains in tunnels

The most important flow parameter to be considered in a study of tunnel aerodynamics is of course the rapid change in pressure as trains pass through. A number of investigations in this area have reported in 2020. Perhaps the most significant is the full-scale investigation of Somaschini et al (2020). They measured both on track and on train pressure measurements on a high-speed Italian line. They showed the pressure transients caused by trains in tunnels were very sensitive to the initial flow conditions in the tunnel, and specifically the residual velocities caused by the passage of earlier trains. The on-train measurements consisted of the measurements of pressures around the train envelope, together with the internal pressures for both sealed and unsealed trains. The effects of train passings were also measured, and the effect of HVAC shuttering systems on internal pressures identified. This is a very substantial piece of work and provides much data that could be used for the verification of physical and numerical modelling methodologies in the future. Lu et al (2020) investigated pressure transients for trains crossing in a tunnel using RNG k-epsiilon CFD techniques and moving model experiments.  They used three of four coach trains in tunnels of varying length. The main thrust of the investigation was aimed at investigating the effect of changes in tunnel cross section. There was a respectable level of agreement between CFD and physical model tests, and the authors concluded that the optimal geometry for a reduction in tunnel section depends upon the point at which trains pass, which is of course very difficult to control in practice. Izadi et al (2020) used a simple moving model of circular train in tunnel and compared the results with standard RANS methods. Unsurprisingly there was good agreement. Although this work is in effect a repeat of work that was carried out in the 1970s and 1980s, it does have a novel aspect in that the effect of trains accelerating and decelerating was investigated.

The other major flow parameter of importance is of course the flow velocity, in the slipstream and wake of the trains. These have been investigated by two studies. Li et al (2020a) investigated the slipstreams caused by single and passing trains using URANS CFD calculations around eight coach trains passing through a tunnel roughly three times that length. Unsurprisingly they found that the slipstreams and wakes were highly complex varying both spatially and temporally. The highest velocities were in the train / wall gap or in the gap between passing trains as would be expected. Interestingly they found that the size of the longitudinal vortices in train wakes decreased as the train entered the tunnel and were constrained by the tunnel walls, although their vertical extent increased. Meng et al (2020) used IDDES CFD techniques to investigate the slipstreams and wakes in tunnel for trains with different nose shapes. A three-coach train geometry was used, with noses of variable length. It was found that the long nose shape reduced the slipstream velocities throughout the tunnel.

The reduction in strength of micro-pressure waves from tunnel outlets continues to be a topic of investigation. Luo et al (2020b) investigated this effect for mountainous terrain where there was no space for lengthy for entrance structures, looking instead at the use of cross passages near the tunnel inlet. Both moving model tests and CFD techniques were used, and good agreement was found. It was concluded, again perhaps unsurprisingly, that as many large cross passages near the tunnel entrance as possible had most effect on the strength of the MPW emitted from the tunnel. Saito and Fukuda (2020) investigated entrance stepped hoods of variable area with porous opening using acoustic theory and found that the optimal design could results in significantly shorter hoods than conventional designs.

The study of the aerodynamics of subway systems continues to develop with a number of investigations carried out. In particular there have been two full scale investigations reported. The first, by Hu et al (2020) measured airflow characteristics in the tunnels around a subway station and used the results to calibrate a network model. This model was then used to investigate the effect of different arrival and departure strategies on the air flow within stations.  The cooling load of train air flow was also investigated, in relationship to mechanical ventilation methodologies.   There were significant variations in ventilation characteristics as train operation varied, but the authors found it was possible to arrive at an optimized HVAC operation. Khaleghi and Talaee (2020) carried out full scale velocity measurements in a subway station with longitudinal ventilation of tunnels, with a novel air curtain system to control the ventilation flows within the station. The results were used to calibrate a CFD methodology, which was then used to investigate a range of ventilation and air curtain strategies studied.

Liu et al (2020b) used a standard k-omega SST CFD methodology to investigate a four-coach train accelerating to 120km/h as it left a station and entered a tunnel, and in particular made estimates of the time varying pressure and friction drag. As would be expected, the latter increased substantially on tunnel entry. Huang et al (2020) also used a standard RNG k-epsilon CFD methodology to investigate the loads on the surfaces of tunnels caused by the passage of a six-car subway train. The methodology was verified using equivalent moving model tests. The investigation showed that the loads were particularly sensitive to overall tunnel blockage and tunnel shape.

Finally, it is necessary to point out that the effect of air movement on the spread of fires in tunnels is not considered here. The interested reader is referred to Liu et al (2020c) and Peng et al (2020) for recent investigations.

Trains in crosswinds

Crosswind forces

One of the basic requirements for the study of trains in crosswinds is a knowledge of the crosswind induced forces. As pointed out in TAFA, the determination of these forces is not straightforward either experimentally or numerically. A number of authors have addressed some of these issues. Liu et al (2020d) investigated the optimum number of pressure taps on a train to obtain accurate forces and moments through pressure integration using DES methodology for a three car HST at yaw angles between six to thirty degrees, and compared their results with directly measured forces from wind tunnel tests. They found that an arrangement of 15 x 4 taps on each face of the train produced adequate results although the difference between the computed and measured force coefficient values was considerable (up to 10% for side force coefficient, and up to 20% for lift force coefficient. Interestingly they found that only between 2 and 4% of the forces were due to friction rather than pressure effects.  Huo et al (2020) investigated whether the trailing edge shape of dummy vehicle in crosswind tests (which is conventionally mounted behind the live vehicle) affected the measured forces and moments. A range of shapes were considered, from blunt ended to streamlined, using DDES-SST techniques. Little effect was found for yaw angles up to 45 degrees, but both side and lift force coefficients fell below the values for long trains at a yaw angle of 60 degrees, with the trailing edge shape making little difference. Li et al (2020b)  looked in detail at the choice of the RANS methodology embedded within the DES approach, an important issue that has not been much investigated in the past. In particular they investigated the adequacy of the one equation SA-DES approach and the two equation SST-DES approach as applied to a Class 390 train at a yaw angle of thirty degrees, for which wind tunnel data was available.  Both methods gave similar values and trends, of surface pressure but there were considerable differences in the predicted separation positions. Side force and rolling moment coefficients were similar, but lift force coefficient were very different. The authors concluded that SST-DES was the most appropriate to use.

CFD techniques were also used to investigate the effect of specific geometrical features on measured and calculated crosswind forces. Guo et al (2020b) used DDES to investigate the effect of bogie complexity on crosswind measurements and found that the rolling moment coefficients increased as bogie simulations became more complex, with a variation of around 20%.  Jiang et al (2020) carried out a DES investigation of the effect rail type in cross wind simulation. No rail, simple rail, complex rail simulations were  used. It was found that there was little effect on side force coefficients and rolling moment coefficients were only affected in the higher yaw angle range but lift force coefficients were significantly affected for all yaw angles. The results for the simplified and complex rail simulations were very similar. Maleki et al (2020) in their LES study of double stack freight in crosswind particularly investigated the effect of the gap between containers. They showed that variations in gap width had a significant effect on flow topology, which was highlighted through significant differences in mode shape appearing in a POD analysis. The flow structures that were observed included vortices from the leading windward corner of the container and longitudinal vortices from the top and bottom leeward corners. The authors were mainly concerned with the effect of crosswinds on drag, and their work illustrated the drag benefit of keeping the gaps between the containers small, which became more substantial as yaw angles increased.

Zhang et al (2020b) carried out a CFD analysis of the Chiu and Squire idealised train model at 90 degrees yaw and used various optimization schemes to optimize cross wind forces by geometric changes. They found that the changes had little effect on side forces, but that lift could be reduced by 20% by small sectional modifications. The work has little practical significance.

The investigations described above have, if only implicitly, been concerned with the crosswind forces on train due to normal, cyclonic winds. By contrast Xu et al (2020a), using DES simulations, investigated the forces on  a three-car train passing through a tornado simulation. The tornado was small in relation to the train, and there were significant scaling issues as in all such simulations. Forces were calculated for different vortex positions relative to the train, and whilst of high intensity were found to be transient and very localized. The overall representativeness of the simulated flow field in relation to real tornadoes must be questioned.

A number of investigations, usually CFD studies, have looked at crosswind forces on trains in the presence of different infrastructure geometries. Guo et al (2020c) used DDES techniques to study flow over embankments with and without trains. A three-car HST model was used, with embankments up to 7m high, with a simulation of an upstream power law profile. Both velocities and train forces and moments were measured for a range of different cases. The results are potentially very useful and need to be integrated with existing compilations of similar measurements. Wang et al (2020e) carried out a RANS study on a three-car HST to investigate the effects of ground clearance, typical embankments and viaducts and a truss bridge, at yaw angles of 30, 45 and 60 degrees. Results are presented for side and lift force coefficients for the different cases. Li and He (2020) carried out wind tunnel measurements of a train on a bridge with a ninety-degree wind and measured aerodynamic forces and moments for different angles of attack. As this angle varied across the range that might be expected in reality, significant variations in the forces and moments were observed. These results are valuable, although the authors recognize that strictly they are valid only for the bridge geometry that they studied. Zou et al (2020) used RANS SST to study the aerodynamic forces and moments on a three-car HST as it travelled into and out of an area on a bridge sheltered by a wind barrier. Very high unsteady forces were observed on both train and barrier at entry and exit. Yao et al (2020) carried out a similar RANS SST study of a train on a truss bridge and also found similar highly transient and unsteady forces. They also investigated the effect of angle of attack. Gu et al (2020) report a study of flow and forces behind corrugated wind barriers, with a wavy section of different types. Very large-scale high blockage wind tunnel tests were carried out on a train section at 90 degrees yaw, together with equivalent DES calculations. The forces on the train section varied significantly with barrier “bendiness”.

Two investigations have looked in detail at the crosswind forces on trains as they emerge from a tunnel onto a viaduct in complex terrain.  Deng et al (2020b) carried out a RANS study and found very rapid transients for all forces and moments with some significant overshoots of the equilibrium value. Wang et al (2020f) using SST k-epsilon methods looked at the effect of wind barriers at the tunnel bridge junction, comparing the transient forces with and without barriers.

Vehicle system modelling

Having determined the force and moment coefficients, the next step in addressing crosswind safety is an analysis of the vehicle / wind dynamic system. This requires some formulation to describe wind gusts. There are three basic approaches – the specification of gust magnitudes alone, the specification of a discrete gust shape, and the full stochastic representation of the wind. All three approaches were investigated by Yu et al (2019) whose used examples of all three methods within a generic MDF model for a high-speed train and derived cross wind characteristics for each. These results showed the relationship between the three methods and illustrated the arbitrariness in defining peak gust values.

Montenegro et al (2020a) investigated the effect of cross winds on a train bridge system subject to a stochastic wind field and calculated the forces on both train and bridge. Train bridge interactions were specifically allowed for and a stochastic track irregularity model was used. Three criteria were used to define crosswind characteristics – the rail lateral / vertical force ratios, wheel unloading, and the Prud’homme limit. The comparison with the CWC calculated from the TSI discrete gust methodology showed that the latter was conservative. The authors followed up this work in Montenegro et al (2020b) which investigated the adequacy of the TSI methodology for various bridge heights, and showed that it became progressively less accurate as the bridge height increased due to the fact that it involves a fixed, rather than variable, turbulence intensity. A revised TSI methodology with variable turbulence was proposed.  Montenegro et al (2020c) used this methodology to investigate different types of bridge construction. They showed that direct wind load on trains were more important than the loads transmitted from the bridge, and also looked at safe running speeds.

Yang et al (2020) investigated the train dynamic response on a tunnel / bridge system such as described above. A three-coach train model was used with a many degree of freedom mechanical model, together with RNG k-epsilon CFD calculations for the train forces.  CWCs were again derived, and the rail lateral / vertical force ratios and wheel unloading criteria were used to derive CWCs. Sun et al (2020) investigated an HST passing a wind break with a breach. URANS was used, together with a complex MDF model, and artificial wind gust shapes. It was found, unsurprisingly, that when the gust duration experienced by the train as it passed the breach was equivalent to the train suspension natural frequency, then large force and displacement transients were observed. Wu et al (2020) investigated the hunting stability and rail creep on curved track with a cross wind. As such they looked at the dynamic stability of the vehicle ride, rather than overall stability. They showed that hunting behaviour was changed significantly by cross winds

Two papers of particular significance are those by Wang et al (2020g) and   Liu et al (2020e) The former considered a stochastic simulation of wind as input to a closed form dynamic model that allowed only for major suspension effects.   A frequency response method was used that used wind spectra, mechanical transfer functions to obtain track contact force spectra. This enabled peak values to be calculated from a normal peak value analysis and CDFs of exceedances were derived. The second paper similarly adopted a simple model of the dynamic system, but used both spectral methods and discrete gust profiles, together with force and moment coefficients from CFD calculations and wind tunnel experiments to calculate train displacements and wheel forces. The method can also be used to study pantograph dynamics. Liu et al (2020f) followed on from this work to investigate overturning coefficients for different windspeed changes over different times and to look at a range of geometry changes.

Finally, the work of Xu et al (2020b) should be mentioned. This is a follow on from the work of Xu et al (2020a) for the effect of tornadoes on trains but extended to include a MDF dynamic model. It was shown that derailment was more likely than overturning for the cases considered, although it must be stressed that the realism of the tornado simulation is doubtful.

Miscellaneous wind effects

Follow on from earlier papers on braking plates discussed in the first post (Nui et al 2020a, b, c, d), Zhai et al (2020), using DES calculations over a simulated train roof looked at the effect of a cross wind with a yaw angle of ten degrees.  The unsteady forces on the raised plate were considered during the opening process. Unsurprisingly it was shown that crosswinds increased these forces significantly.

Takahashi et al (2020) investigated the unbalanced tension in the overhead in crosswinds of up to 30m/s. Measurements were made of wire movement in high winds and it was shown that flapping wires imposed significant loads on structures. Methods were derived to determine the frequency and amplitude of the wire movements for use in fatigue analysis.

Emerging issues

Work continues to some extent on evacuated tube transport. Niu et al (2020e) looked at the acceleration and deceleration of short tube vehicles through the sound barrier using IDDES-SST techniques, predicting values of drag, pressure and temperature. They validated their methodology against wind tunnel tests on wedge like shapes. Calculations were performed for s range of acceleration and deceleration profiles and the flow patterns for the two sets of profile were shown to be quite different. Zhou et al (2020b) looked at longer, more train-like vehicles using a 2D axisymmetric k-omega method and investigated the onset of the critical flow phase. Both investigations showed the overall complexity of the shock wave pattern around such vehicles at high speeds.

Although perhaps somewhat peripheral to train aerodynamics, interest continues in air quality in the railway environment. Islam et al (2019) report measurements of a short trial to measure gaseous and particulate pollutants around a railway station in India, that measured high values of PM2.5. Xu and Liu (2020) similarly measured high values of PM2.5 around a Beijing railway station. The former used a trajectory analysis that indicated the majority of the pollutants were from local sources, whilst the latter used the data to develop a spatial prediction model based on modal decomposition that allowed future particulate concentrations to be predicted.  Loxham and Nieuwenhuijsen (2019) present a review of particulate levels on underground railways from a variety of sources , and in particular look at the health effects of the measured pollutants. They concluded that the particulates produced by the operation of the railways themselves was more toxic than the ambient values, because of their metal content, although their health effects were unclear. Ren et al (2018) looked at the use of momentum sources in CFD calculations to represent vehicles, as a potentially more economic type of calculation than using a standard dynamic mesh around trains models. A simple slow speed moving model rig was used for validation purposes. A significant resource saving was indeed reported, and it was shown that the methodology could be used to predict particulate movement in tunnels, with moving trains causing more movement than stationary trains.

Finally, a number of papers present work that looks at train ventilation and air movement within train cabins. These were mainly concerned with the optimization of HVAC systems – Barone et al (2020) who developed a dynamic simulation methodology of HVAC for train trips that included weather effects; Li et al (2019) who conducted CFD calculations to model the flow over passengers in and HST cabin to determine thermal comfort and airflow velocities; Schmeling and Bosbach (2019) who carried out laboratory test on a mock-up of a train cabins with mannikins; and  Talee et al (2020) who measured airflow velocities in a long metro train with a through corridor while accelerating and decelerating. Batutay et al (2020) report measurements of PM2.5 and CO2 levels in train cabins on a subway line in the Philippines. High levels of PM were measured at times.

Final reflections

The two trends noticeable in the last review are again apparent – the large number of published investigations from a small number of Chinese groups, and the growing use of CFD techniques, and in particular the IDDES technique seems to be becoming the most favoured. Having read the papers collated in this year’s review I feel it worth quoting directly two of my concluding comments from last year as they still seem to me to be relevant. Firstly

…….. it seems to the author that there is a growing need for a small set of freely available well documented validation cases, ideally from full scale experiments for a range of train types, that investigators can use routinely to prove their (CFD) techniques. At the moment the validations used are somewhat ad hoc, and perhaps a more systematic approach would give greater confidence in the results, and also allow research papers to be reduced somewhat in length, as the details of the validation cases would not be required…..

And secondly.

….. it must be remembered that CFD simulations, in the same way as physical models, can only offer a simplified representation of the flow around full-scale trains, and need to be interpreted in this light. There is a tendency amongst some authors (and I name no names!) to quote numerical results to higher levels of accuracy than is either sensible or useful when the uncertainty of the full-scale situation is considered.  Just as with physical model tests, the role of the engineer in interpreting CFD results in terms of the reality of the operating railway is crucial……..

These comments still stand.